Filename: SQM_20161206_001 - Last updated on 18-Oct-2017 14:42:58 Back to Summary Page
SQM file Header information
Description Value or Code
Cruise_Name:, Vaux(12,:) NIST
Cruise_Number 2016-001
Investigator:: Vaux(16,:) Carol Johnson
Location_of_Measurement: Vaux(17,:) NIST B019_221
Purpose: Vaux(18,:) Testing
MOBY_NET_Sequence_Position: Vaux(20,:) Calibration Facility
Ambient_Air_Temp (deg C) 24.6
Relative_Humidity (%) 28
#_of_Levels 1
Time_Step (sec) 10
Initial lamp state: Vaux(40,:) All Off
Time_adjustment_to_GMT 0
Time_of_Last_Servicing 20151218
SQM_120VAC_On 20161206.202600
SQM_Off_to_Standby 20161206.202948
SQM_Standby_to_Off 20161206.223300
SQM_120VAC_Off 20161206.223400
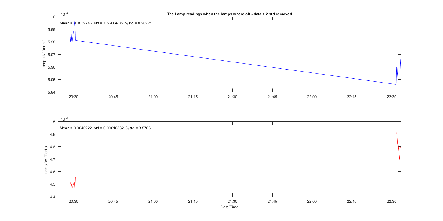
Lamp 1 A burn hours 1.9761
Lamp 3 A burn hours 2.0111
DAQ_Program_Version 0
File Format Version 2
DAQ_Computer: Vaux(60,:) EOS EQUIP 13
DAQ_Program_Name: Vaux(61,:) SQM Monitor_2.0.vi
All Devices Under Test in the DUT column in DATA:

DUT_Net_CAS_Lu

ASCII SQM file data: SQM_20161206_001.txt

ASCII SQM file data: PDF log file


1A and 3A Lamp information: Gives stats for each lamp and each time it was turned on. All the values are for when the lamp was at full power.
Lamp On/Off # N Time on (hrs) Mean (meas./set) std %std
Lamp 1A 1 659 1.9267 0.94999 / 0.95 0.0001281 0.013484
Lamp 3A 1 645 1.8858 3 / 3 0.00065334 0.021778

Photodetector internal monitor (V) during lamp level changes : Gives stats when the lamp level changed but only when the lamp was at full power.
Level PD internal monitor (V) Level Change # Mean std %std
High (1A & 3A) Red 1 1.5458 0.10373 6.7102
High (1A & 3A) White 1 1.6795 0.11655 6.1761
High (1A & 3A) Blue 1 1.5853 0.11684 6.5428

Temperature (C) during lamp level changes : Gives stats when the lamp level changed but only when the lamp was at full power.
Level Temperature (C) Level Change # Mean std %std
High (1A & 3A) PD 1 34.9538 0.11414 0.32654

Red PD (max value): 1.5666: #of possible satureated values 0
White PD (max value): 1.7295: #of possible satureated values 0
Blue PD (max value): 1.6141: #of possible satureated values 0


image

Figure 1

Summary Graph showing all measurements taken in this file, including auxilliary temperature measurements and comments. The text C# shows what time in the file the comments (shown above where made). The triangles at the top of the figure shows then a DUT (Device under test) was placed in front of the SQM and removed.


image

Figure 2


image

Figure 3


image

Figure 4


image

Figure 5


image

Figure 6


image

Figure 7


image

Figure 8


image

Figure 9


image

Figure 10



pwd: E:\zflora\mldata\mobynet\characterizations\stability\SQM\data\2016-12-06
Date: 18-Oct-2017 14:42:58
Created from htmlsqmmat_(1)