Filename: SQM_20170606_001 - Last updated on 18-Oct-2017 14:42:59 Back to Summary Page
SQM file Header information
Description Value or Code
Cruise_Name:, Vaux(12,:) NIST
Cruise_Number 2017-002
Investigator:: Vaux(16,:) Carol Johnson
Location_of_Measurement: Vaux(17,:) NIST B019_221
Purpose: Vaux(18,:) Stability Measurement
MOBY_NET_Sequence_Position: Vaux(20,:) Calibration Facility
Ambient_Air_Temp (deg C) 22.8
Relative_Humidity (%) 43
#_of_Levels 3
Time_Step (sec) 10
Initial lamp state: Vaux(40,:) All Off
Time_adjustment_to_GMT 0
Time_of_Last_Servicing 20151218
SQM_120VAC_On 20170606.192700
SQM_Off_to_Standby 20170606.193116
SQM_Standby_to_Off 20170606.210518
SQM_120VAC_Off 20170606.210700
Lamp 1 A burn hours 1.4689
Lamp 3 A burn hours 1.5039
DAQ_Program_Version 0
File Format Version 2
DAQ_Computer: Vaux(60,:) EOS EQUIP 13
DAQ_Program_Name: Vaux(61,:) SQM Monitor_2.0.vi
All Devices Under Test in the DUT column in DATA:

DUT_White_Fiducial
DUT_Net_CAS_Lu
DUT_VXR

ASCII SQM file data: SQM_20170606_001.txt

ASCII SQM file data: PDF log file


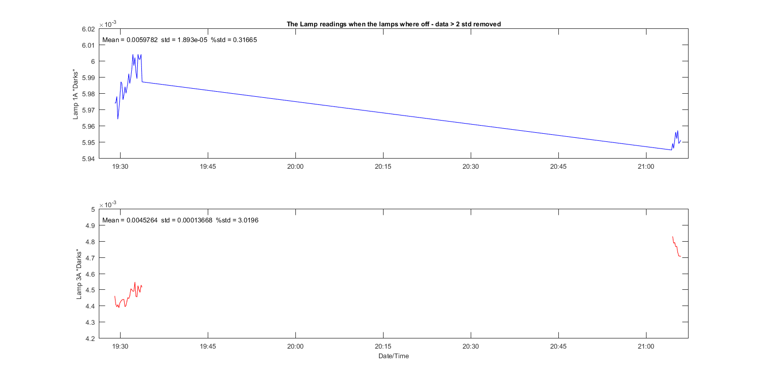
1A and 3A Lamp information: Gives stats for each lamp and each time it was turned on. All the values are for when the lamp was at full power.
Lamp On/Off # N Time on (hrs) Mean (meas./set) std %std
Lamp 1A 1 488 1.4222 0.94999 / 0.95 0.00012965 0.013647
Lamp 3A 1 475 1.3842 3 / 3 0.0010399 0.034664

Photodetector internal monitor (V) during lamp level changes : Gives stats when the lamp level changed but only when the lamp was at full power.
Level PD internal monitor (V) Level Change # Mean std %std
High (1A & 3A) Red 1 1.4821 0.19293 13.0174
High (1A & 3A) White 1 1.6065 0.2112 12.009
High (1A & 3A) Blue 1 1.5365 0.20856 12.5562

Temperature (C) during lamp level changes : Gives stats when the lamp level changed but only when the lamp was at full power.
Level Temperature (C) Level Change # Mean std %std
High (1A & 3A) PD 1 35.0104 0.10499 0.29989

Red PD (max value): 2.4834: #of possible satureated values 6
White PD (max value): 1.7858: #of possible satureated values 6
Blue PD (max value): 2.4976: #of possible satureated values 0


image

Figure 1

Summary Graph showing all measurements taken in this file, including auxilliary temperature measurements and comments. The text C# shows what time in the file the comments (shown above where made). The triangles at the top of the figure shows then a DUT (Device under test) was placed in front of the SQM and removed.


image

Figure 2


image

Figure 3


image

Figure 4


image

Figure 5


image

Figure 6


image

Figure 7


image

Figure 8


image

Figure 9


image

Figure 10



pwd: E:\zflora\mldata\mobynet\characterizations\stability\SQM\data\2017-06-06
Date: 18-Oct-2017 14:42:59
Created from htmlsqmmat_(1)